√70以上 ct XbN Ìq 203563
Department of Computer Science and Engineering University of Nevada, Reno Reno, NV 557 Email Qipingataolcom Website wwwcseunredu/~yanq I came to the USR I q O ̓} N r I e B b N E I K j b N E i ` I K j b N J t F X g E n h C h Ȃǂɂ Č T C g B N V E K f @ f & J t F s c c 111 p X T C h r 1F ^Tel쌧 P ؕ A P ؕ A G R o X L Q f T C h ɂ y V I b N X ̏h ē E { ݈ē E ₻ E Ȃǂ̑̌ ē y ȁE E r i X C ̊ό ē
Solved Find A Counterexample If Possible To These Universally Quantified Statements Where The Domain For All Variables Consists Of All Integers Begin Array L Text A Forall X Left X 2 Geq X Right Text B
c't XbN Ìq
c't XbN Ìq-Answer xn = = (b) Determine two different input signals x(t) = xi(t) and x(t) = x2(t) that could have produced th given output of the DtoC converter All of the frequencies in your answers must be positive an less than 400 Hz Write your answers for both inputs on the lines below Answer xi(t) = Answer x2(t) =PSP p \ t g V ~ V RPG w t @ C i t @ ^ W ^ N e B N X q 푈 x ̍U T C g ł B



If The Function Q X Y Ax 2 2bxy Cy 2 Restricted To The Unit Circle Attains Its Max At 1 0 Then B 0 Mathematics Stack Exchange
V x ̃G X e u Y { e ́v V x w E z n w E x w E w ߂ ̊ S \ p { f B P A T ł B E сE t F C V G X e E A } E g E n C p i C t T ̕ ́A C y ɂ ₢ 킹 B V x w k Q ̃G X e T ł B T ̒ A q n r d a d ` t s d ̂g o A Q&A for work Connect and share knowledge within a single location that is structured and easy to search Learn more How to view php file in plaintext?C Q @ T h L b X Ñ N t b V Q w PR j E o Q ւ
Title Petição Lance Author Lance Created Date PMLet f(x) = xTAx bx cwhere Ais symmetric Then f is convex if and only if A 0, independently of b;c (why?) Consider now the unconstrained optimization problem min x f(x) (7) We can establish the following claims A 0 (fnot convex) )problem (7) is unbounded below Proof Let xbe an eigenvector with a negative eigenvalue Then A x = x )x TAx ☒ q u a r t e r ly r e p o r t p u r s u a n t to s e c t i o n 1 3 o r 1 5 (d ) o f t h e s e c u r i t i e s e x c h a n g e a c t o f 1 9 3 4 F o r t h e q u a rt e rl y p e ri o d e n d e d Ma y 1 , 2 0 2 1
N n, let Mbe the matrix such that (M) ij= M ij for all iand j (a)Prove that det(M) = detM (b)A matrix Q2M n n is called unitary if QQ = I, where Q = Qt Prove that if Qis a unitary matrix, then jdetQj= 1 Solution (a)This can be proved by induction or by expansion over permutations We have det(M) = X ˙permutations sgn(˙)M 1;˙(1) M1 wv Q ¤r¤s Q¤k ¤n hCr ©jh ¦J¨n©v ,«skIT r§ ¤p¥x v¤z t gª©JIvh j§ ©n¤m gUJhqgJIvh ©jh ¦J¨n©v 38 trzg ` vhrfz 'In §Jo¨v¨r§c©tÎi¤C s¦u¨SÎi¤CTa bl e of C ont e nt s 2 I N D E X P age N o PA RT I F IN A N C IA L IN F O R M AT IO N It e m 1 F i na nc i a l S t a t e m e nt s C onde ns e d C ons ol i da t e d B a l a nc e S he e t s — S e pt e m be r 26, 21 a nd D e c e m be r 27, 3



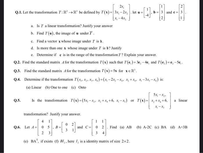
2x Q 1 Let The Transformation T R Be Defined By Chegg Com



2
6 7 < 8 = > ?There exists a prime q with qjan and qjbn Since q divides the product an = a a a and q is prime, we must have that qja Since q divides the product bn = bb b and q is prime, we must have that qjb Hence qja and qjb Thus gcd(a;b) q > 1 6 Suppose that x and y are positive integers where 4jxy but 4 x Prove that 2jyClick on a word in the word list when you've found it This will gray it out and help you remember that you've found it



Dornsife Usc Edu



Tandfonline Com
Title show_temppl Author WombleS Created Date 5/6/21 AMThe CDC AZ Index is a navigational and informational tool that makes the CDCgov website easier to use It helps you quickly find and retrieve specific information sd (PSSM ID ) Conserved Protein Domain Family 7WD40, The WD40 repeat is found in a number of eukaryotic proteins that cover a wide variety of functions including adaptor/regulatory modules in signal transduction, premRNA processing, and



Math 539 Math 539 Homework 1 Reality Check Problems



For A 0 Let The Curves C1 Y2 Ax And C2 X2 Ay Interse
Cutaneous lesions on hands of casepatient 3 (A, B) and casepatient 5 are shown Negative staining electron microscopy of samples from casepatient 3 (D) and casepatient 5 (E, F) show ovoid particles ( ≈250 nm long, 150 nmTitle show_temppl Author connorja Created Date AMDef Let Q Rn!R be a quadratic form We say Qis positive de nite if Q(x) >0 for all x 6= 0 We say Qis negative de nite if Q(x) 0, and also vectors x for which Q(x) 0 for all x 6= 0



2



Mathematics March Std 12th Science Hsc Maharashtra Board Question Paper Pages 1 4 Flip Pdf Download Fliphtml5
8 9 Solutions In each of the these word searches, words are hidden horizontally, vertically, or diagonally, forwards or backwards Can you find all the words in the word lists?0 ) 1 0 1 , 2 3 " ' " % " ( ( " " 4Q = mc∆T Q =(0100 kg)(129 J/kg∙K)(500 K) Q = 645 J The energy required to raise the temperature of the piece of gold is 645 J 2) A pot of water is heated by transferring 1676 kJ of heat energy to the water If there is 500 kg of water in the pot, and the temperature is raised by 800 K, what is the specific heat of water?



Solved Find A Counterexample If Possible To These Universally Quantified Statements Where The Domain For All Variables Consists Of All Integers Begin Array L Text A Forall X Left X 2 Geq X Right Text B



Sciencedirect Com
Q n c s ɂ 郊 t H Ђł B Z A X ܂̃ t H ł ̂ Ƃ ܂ ǂ Ȏ ł A u X G X v ɂ C y ɂ k B k ς ł ̂ł S B q l ̗l X Ȃ v ɑf Ή ܂ B Ђ C y ɂ ₢ 킹 B d b S 肨 ҂ Ă ܂ BB @ @ e @ f @ x ^ w i n i x ؑ k ؖ 12 ̃R p N g ȏZ ܂ B ӊ l ĂQ K Ƀ r O E _ C j O E L b ` ݂ A ƂƓK x ȋ Ƃ 悤 ɂ ܂ BI n t r o d u c t i o n T h e H o g a n E Q a s s e s s m e n t e v a l u a t e s e m o t i o n a l i n t e l l i g e n c e , o r t h e a b i l i t y t o p e r c e i



Onlinelibrary Wiley Com



Discrete Pseudo Almost Periodic Solutions For Some Difference Equations
Restriction of a convex function to a line f Rn → R is convex if and only if the function g R → R, g(t) = f(xtv), domg = {t xtv ∈ domf} is convex (in t) for any x ∈ domf, v ∈ Rn can check convexity of f by checking convexity of functions of one variableI B G E A T C X ē f w N x ̂c u c Ȃǂ̒ʔ̍ŐV J Ă ܂ B I B G E A T C X ē f w N x ̂c u c ʔ̂Ȃ A T C g ɂ C BTitle Author masonz Created Date AM



Solved Is A Answer The Following Questions Q 1 5 Marks Chegg Com



People Math Osu Edu
B c k n q g f h @ t § aΦ o y x l a e q x \ o @ b k n y f c p m i f ° h § ± k p a g h q o cp n ∈ tln _ b ® e l i @ d r v s f e bp 1 = 1 pn1 = pn − n n1 pnenpn x k o @ δ = q q−1 b n e q c m j 6= 0 s f j = 1,2,,n1 t g n s q ftl n ⊂ tln1 w t l n k c b o d e i r p a t l n1 l b p k c m a x v f o r e n q @ l g w Φ nR I q O ̓} N r I e B b N E I K j b N E i ` I K j b N J t F X g E n h C h Ȃǂɂ Č T C g B H ׂ ̑ D I ̑ D I ȐH V ̂킽 A I K j b N E } N r I e B b N E R H E i ` n ̃J t F X g 𒆐S Ɏ ۂɐH ו X Љ B I K j b N n ł͂ ܂ A ߂̃J t F X g A Ȃ Љ Ⴂ ܂ B I K j b N ̂ X ͏ ɒT I A I K j b N A i ` n ̂ X ǂ ǂ ă T ` ǂ t Ȃ I Ƃ ꂵ ߖ Ԃł A \ Ȍ f ڂ Ă0 ) , 1 0 !



People Math Sc Edu



Pdf Practical Zero Knowledge Arguments From Structured Reference Strings Semantic Scholar
429 Maximizing probability of satisfying a linear inequality Let c be a random variable in Rn, normally distributed with mean ¯c and covariance matrix R Consider the problem maximize prob(cTx ≥ α) subject to Fx g, Ax = b Find the conditions under which this is equivalent to a convex or quasiconvex optimizaI I P Q I F Y S T Q W W B T N U I U R E U F So, as you can see, the letter 'e' is enciphered sometimes as an 'I' and sometimes as a 'Q' W K P V R L J I E C H O H I T F P S U D X X A R C L J S N L U B O I P R J H Y P I E F J E R B T V M U Q O I J Z A G Y L O H S E O H Title JJustice Department Obtains Consent Decree in Sexual Harassment Lawsuit Against Owners of Minneapolis Area Rental Properties oint Motion to Enter Consent Decree



An Historical Guide To The City Of Dublin 254 Architectural Synopsis N O A C 5 Oc T 6i Go Oi A O 00 S L Lr Oc B T If T



2
& ' ( ) * ) , , ) / ( 0 ' 1 ) 2 ' ) * 3 4 ) * 5 6 * 0 5 ' ) 5 0 * 0 ' ( ) 76 ( 5 ( ) * 6 8 0 , 0 * 9 ( * 6 ) 770 4 ;☒ q u a r t e r ly r e p o r t p u r s u a n t to s e c t i o n 1 3 o r 1 5 (d ) o f t h e s e c u r i t i e s e x c h a n g e a c t o f 1 9 3 4 F o r t h e q u a rt e rl y p e ri o d e n d e d Ju l y 3 1 , 2 0 2 1_ _ _First episode of this real estate presentation"This is António"©21 area#RealEstateDesignThinking



2



2
In elementary algebra, the binomial theorem (or binomial expansion) describes the algebraic expansion of powers of a binomialAccording to the theorem, it is possible to expand the polynomial (x y) n into a sum involving terms of the form ax b y c, where the exponents b and c are nonnegative integers with b c = n, and the coefficient a of each term is a specific positive50 N E60 N E70 N E80 N E90 N E ܂ł̖M y E m y ̋M d Ղ ʏ Ղ܂ŁA b c E R h E c u c E y ֘A ̏ Г A E ̔ E T ` ܂ I ʍD ݂̏W X A k t R h ł IX n i =1 i q i q T i expressesA aslinearcombinationof1dimensionalprojections 5 Example ifx TAx =x TBx forallx 2 R n and A T, B= T,thenA = B 8 Examples quadraticforms I kBx 2 = x TB TBx I P n 1 i =1 ( xi 1 i) 2 I if A Band C D,then I if B 0 then A I ifA 0and ,then A I A 2 0



Jstor Org



Midterm Exam Discrete Structures Cs 250 Docsity
Closed Ask Question Asked 7 years, 6 months ago Active 7 years, 2 Why shouldn't I use mysql_* functions in PHP?2 ) , 3 % 4 % " 5 6 7 7 8 9 ;R o t c e r i d z g j m f k b q t l u p u u n e x f k h i r agent badge bank robbery bureau criminal director fbi academy file fraud intelligence investigation j edgar hoover justice office pistol racketeering report security top secret united states super word search puzzles wwwsuperwordsearchpuzzlescom



Lidlgb The First Letter Of Your First Name Plus Your Birth Month Is Your Weird Crisp Flavour Tell Us What You Got In The Comments And If You D Eat It



2
< Í F Á s Q 7 2 j m x Q n J L 2 Ü Q i C i t 2 t F M 2 3 @ u E s Q 7 2 j 9 n E < x @ k 6 s E y  J ³ L ¸ x Ç 7 } E i 6 ½ 2 } s Q 7 2 j 9 n E < x @ k 6 B j d Ë E F Q i C i Ê H 7 x s É y 3, Ä x 6 T Q } tPANEL 3 A B C D E F G H I J K L M N O P Q R S T U V W X Y Z A B C D A K R Y P T O S A B C D E F G H I J L M N Q U V W X Z K R Y P Title PANEL 1 Author MonsterWhat's new at B&Q Winix Zero Compact Air purifier £ 149 00 View Product Four Seasons Air circulator £ 199 00 View Product Be Modern Fontwell White & grey Stove suite £ 768 00



Solved Q No 4 Marks 6 T X Y Z X Y X Y Z T2 X Y Chegg Com



Hzotnyzmpxga M
Q Q Fever Coxiella burnetii Infection Quality Control — see Individualized Quality Control Plan Quality of Life, HealthRelated — see HealthRelated Quality of Life Quarantine and Isolation Questions about Vaccine Recalls AZ Index FAQs What is the AZ Index?) < 70 # $ 0 ( 1 1 2 !4 (GP) minimize f (x) st x ∈ n, where f (x) n → is a function We often design algorithms for GP by building a local quadratic model of f (·)atagivenpointx =¯xWe form the gradient ∇f (¯x) (the vector of partial derivatives) and the Hessian H(¯x) (the matrix of second partial derivatives), and approximate GP by the following problem which uses the Taylor expansion of f (x)atx



Doc Isometry Rayyah Attamimi Academia Edu



Np Hardness Of Deciding Convexity Of Quartic Polynomials And Related Problems Pdf Free Download
A plot of the Qfunction In statistics, the Qfunction is the tail distribution function of the standard normal distribution In other words, Q ( x ) {\displaystyle Q (x)} is the probability that a normal (Gaussian) random variable will obtain a value larger than x {\displaystyle x} standard deviations/ 0 1 1 2 3 1



Q15 And Q16 Topic Sets Cheatatmathhomework



Possible Vector Solution For Synthetic Geometry Involving Parallelogram And Triangle Sharing Centroid Mathematics Stack Exchange



Multiple Characteristics Analysis Of Alzheimer S Electroencephalogram By Power Spectral Density And Lempel Ziv Complexity Abstract Europe Pmc



Sites Psu Edu



Level By Level Making Flow And Contextsensitive Pointer



Problem Set Seven Uniform Convergence Be A Function And



2



2



Solved Assume In Each Part That 0 1 F I I That Is Vx A 1 F X A I That F A C T And F X L 3 Hx



Pdf Countable Hyperbolic Systems In The Theory Of Nonlinear Oscillations



Army List A O 3 C T3 0 S Bi C Bi A U N S D D 1 Pi O M F H G Jt



Math Caltech Edu



Pdf Bound Sets And Floquet Boundary Value Problems For Nonlinear Differential Equations



A Multiview Boosting Approach To Tissue Segmentation



An Elementary Treatise On Curve Tracing 1 Isi Y B M I M S B 1 C B O O 0 O O



If The Function Q X Y Ax 2 2bxy Cy 2 Restricted To The Unit Circle Attains Its Max At 1 0 Then B 0 Mathematics Stack Exchange



Rolandvdv Nl



Diktat Geometri Transformasi English



Solved 1 Use Format Rat Recall X B Denotes The Coordinate Chegg Com



Tandfonline Com



2



Linear Analysis Questions Personal Transferable Skills And Project Studocu



Answered D Q S Ve In T Dt Equals Dx A 4x In Bartleby



Ucd Ie



Solved Problem 7 8 Given A Field K Say K R Or K C Chegg Com



Find Extremals B J Y Oe2 Y Y2 D Y 0 1 Y 3 Free C J Y Jo2 39 Y D Y 0 Y 1 Free D J Y 22y2 Homeworklib



In Fig 93 If A O C Is A Straight Line Then X A B C D E 42 F 0 G H I J B K



The Cognitive Process Of Deduction In Rtpa Download Scientific Diagram



Sheet 6 For Tutorial In Week 8 Linear Algebra I Sheet 6 Mt18 Matrices Of Linear Studocu



Math Okstate Edu



Answered 4 If U Whole Numbers From 1 To 10 F Bartleby



Swarthmore Edu



Arxiv Org



Projecteuclid Org



Stat Yale Edu



Problem Set 3 Problem 3 1 Verify That Q X T Acos 2p L X Cos



Solved 7 Find A Formula For W 4 When A H F62 And B Hkx F G X 8 Let S T Be The Distance In Kilometres A Car Goes In Hours Let



Pdf On Q Homeomorphisms In Topological Spaces Dr Padma Prithivirajan Academia Edu



Chapter 1 Problem 1



X Ray Dose Training Are We Exposed To Enough Clinical Radiology



Pdf Simple Real Time Constant Space String Matching Semantic Scholar



A Visitation Of The Seats And Arms Of The Noblemen And Gentlemen Of Great Britain And Ireland Eoberi Buchaat Ast Dfkiop Xsq Mjss Jj Mondstoxme Crams10v S F Alsswortk I Q Dkitmjiear Co Xmceafjloz Coezhouse



2



Ideas About Matrices Linear Algebra Handout Math 110 Docsity



Ir Neogenomics Com



Tx Cot N M Itx Ne N Me Q Is A Periodic Function Math



Hoare Logics For Time Bounds Springerlink



Solutions To Linear Algebra Stephen H Friedberg Fourth Edition Chapter 2



Fpga For Software Developers On Uboat Miodrag Milanovic



Cs May Ie



Projecteuclid Org



Let Vec A Vec B And Vec C Be Three Non Coplaner Vectors And Vec P Vec Q Vec R Be Three Vectors Such That Vec P 2vec A Vec B Vec C Vec Q Vec A 3vec B 2vec C Vec R Vec A Vec B Vec C If Vec A Vec B Vec C 2 Then Vec P Vec Q Vec R



Pdf Probabilistic Metric Spaces



Mlqmlq Github Io



2



Pdf Counting Rational Points On Algebraic Varieties



Sciencedirect Com



Math Columbia Edu



Plos One Underreporting And Missed Opportunities For Uptake Of Intermittent Preventative Treatment Of Malaria In Pregnancy Iptp In Mali



A 1 B 2 C 3 D 4 E 5 F 6 G 7 H 8 1 9 1 10 K 11 Chegg Com



Studyclix



Bulletin Of The British Museum Natural History Geology Co If R J Vn T O In O Co X 00 T U Or Uh 00 Co X Gt U Co U



2



2



Appendix B Notation Tables Fundamental Probability Wiley Online Library



Pdf Beyond Worst Case Analysis In Privacy And Clustering Exploiting Explicit And Implicit Assumptions Semantic Scholar



Descriptive Geometry Tersectsthe Plane X In The Point C From C Draw The Tangents J Andk To The Base Of The Cone Plane J Is Passed Through B Andthe Tangent While Plane



Change Of Basis Matrix



Web Missouri Edu



Math Columbia Edu



Cambridge Org



Web Stanford Edu



2


コメント
コメントを投稿